


喜讯速递
Good news express
喜讯!近日,威尼斯886699收到美国食品药品监督管理局(FDA)确认函,由威尼斯886699自主研发、生产的昆虫细胞培养基Insect Cell Culture Medium IB907D正式完成美国FDA的DMF II型备案,备案号:040750。

DMF备案文件内容包括培养基的配方、原料、生产工艺及加工过程等,可用于临床研究申请(IND)、新药注册(NDA)和生物制品许可证申请(BLA)等,极大程度缩短药品审评审批的时间。

DMF备案的意义

DMF备案的价值和核心作用体现在为原料药生产企业搭建起向评审部门展示产品合规性与稳定性的桥梁,同时为药品审评机构构建起系统化核查药用辅料质量的科学依据。成功获得DMF备案不仅印证了企业从原材料筛选到终端质控的全链条管理能力,更标志着其产业化水平和质量保障体系已通过严苛的国际药品监管评估,正式跻身国际生物制药核心供应链先进行列。

如何引用威尼斯886699培养基的DMF文件
如果您使用Insect Cell Culture Medium IB907D这款培养基产品,进行抗体药/蛋白类药物或者基因治疗相关项目研究,并需要向FDA进行新药研究申请(IND)、新药申请(NDA)、简化新药申请(ANDA)、另一个DMF或出口申请,请联系对应销售或者添加官方微信提出授权申请,我们会向您提供授权书,授权FDA在评审药品申请时对所涉及的DMF技术内容进行直接审查,以加快FDA审评进程。


识别二维码
添加官方微信

产品介绍:IB907d

IB907d无血清细胞培养基是威尼斯886699自主研发的最新款昆虫细胞通用型无血清、无动物源性全悬浮培养基,广泛应用于Sf9、High five细胞及其他鳞翅类昆虫细胞的悬浮培养和杆状病毒系统蛋白表达。该培养基支持细胞高密度生长、蛋白高效表达和规模⽣产放大等特点,同时该系列培养基适配已完成病毒净化的昆虫细胞。
✔支持细胞高密度生长,目的蛋白表达产量高,病毒扩增能力强
✔拥有国际先进的生产线,单批次产量4万升,产品批间一致性稳定
✔ISO13485、9001体系认证,生产按照GMP要求执行
✔生产数据全程可追溯,提供客户完整临床申报支持文件
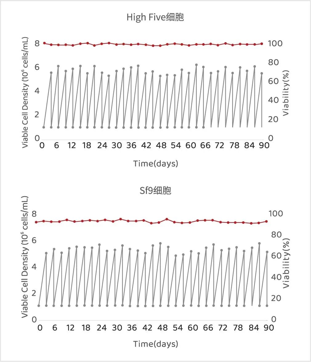
1.长期稳定传代,高密度生长,且活率维持在95%以上

2.生长速率更快,密度更高,维持时间更长

3. 使用Sf9细胞扩增病毒,病毒滴度更高

4. 优秀的批间一致性(RSD<5%)


关于威尼斯886699

威尼斯886699成立于2013年,专注于高品质无血清培养基和蛋白抗体纯化介质的研发与生产,为抗体、疫苗以及细胞基因治疗等生物医药企业提供卓越的产品与解决方案。
培养基单批产能4万升,层析介质单批产能1000L。上下游丰富的产品和严格的质控,充分满足不同领域的客户需求。威尼斯886699用前瞻性的视野和高品质的产品助力生物制药行业发展,经过10余年创新研发积累,已与国内多家企业和科研院所建立长期合作关系。


✔ 配方多。高效的配方开发平台,利用DoE的开发思路,10余年积累了海量配方库
✔ 通量高。丰富的细胞代谢组学研究积累,基于QbD理念高通量筛选,快速响应
✔ 产品全。产品全系覆盖细胞培养需求,CHO、293、昆虫MDCK、干细胞等培养基
✔ 应用广。无血清全悬浮培养基,应用于抗体生产、蛋白表达、AAV生产和疫苗生产
✔ 定制化。从细胞株、培养基、工艺优化多角度服务客户,可定制化满足客户需求
✔ 产能灵活。单批次生产规模从50升到40000升,满足客户多样化需求
✔ 质控严格。公司通过ISO13485、ISO9001、ISO14001质量管理体系认证,按GMP要求管理,满足制药级标准
✔ 供应安全。供应链稳定可控,物料管理体系完善,批间高度稳定,RSD<5%
✔ 工艺稳定。生产工艺稳定可控,使用国际通行的针磨工艺,混合均匀,品质均一
✔ 申报支持。完整的生产数据存档,可追溯期不少于5年,为客户提供完整临床申报支持

(0575) 8070 9355
(0575) 8070 9355
marketing@yskbio.com
浙江省绍兴市诸暨市陶朱街道聚力路16号
©2023 版权所有
暂无留言